爱学习,爱生活,会学习,会生活,人生有百学网更精彩!
爱学习 | 爱生活

复旦大学强基计划试题解析(2020)

发布于:百学网 2021-07-12

复旦大学强基计划试题解析(2020)

  复旦大学强基计划试题解析(2020)

复旦大学强基计划试题解析(2020)
复旦大学强基计划试题解析(2020)
复旦大学强基计划试题解析(2020)
复旦大学强基计划试题解析(2020)
复旦大学强基计划试题解析(2020)
复旦大学强基计划试题解析(2020)
复旦大学强基计划试题解析(2020)
复旦大学强基计划试题解析(2020)
复旦大学强基计划试题解析(2020)
复旦大学强基计划试题解析(2020)
复旦大学强基计划试题解析(2020)
复旦大学强基计划试题解析(2020)

本站(www.100xue.net)部分图文转自网络,刊登本文仅为传播信息之用,绝不代表赞同其观点或担保其真实性。若有来源标注错误或侵犯了您的合法权益,请作者持权属证明与本网联系(底部邮箱),我们将及时更正、删除,谢谢

- END -
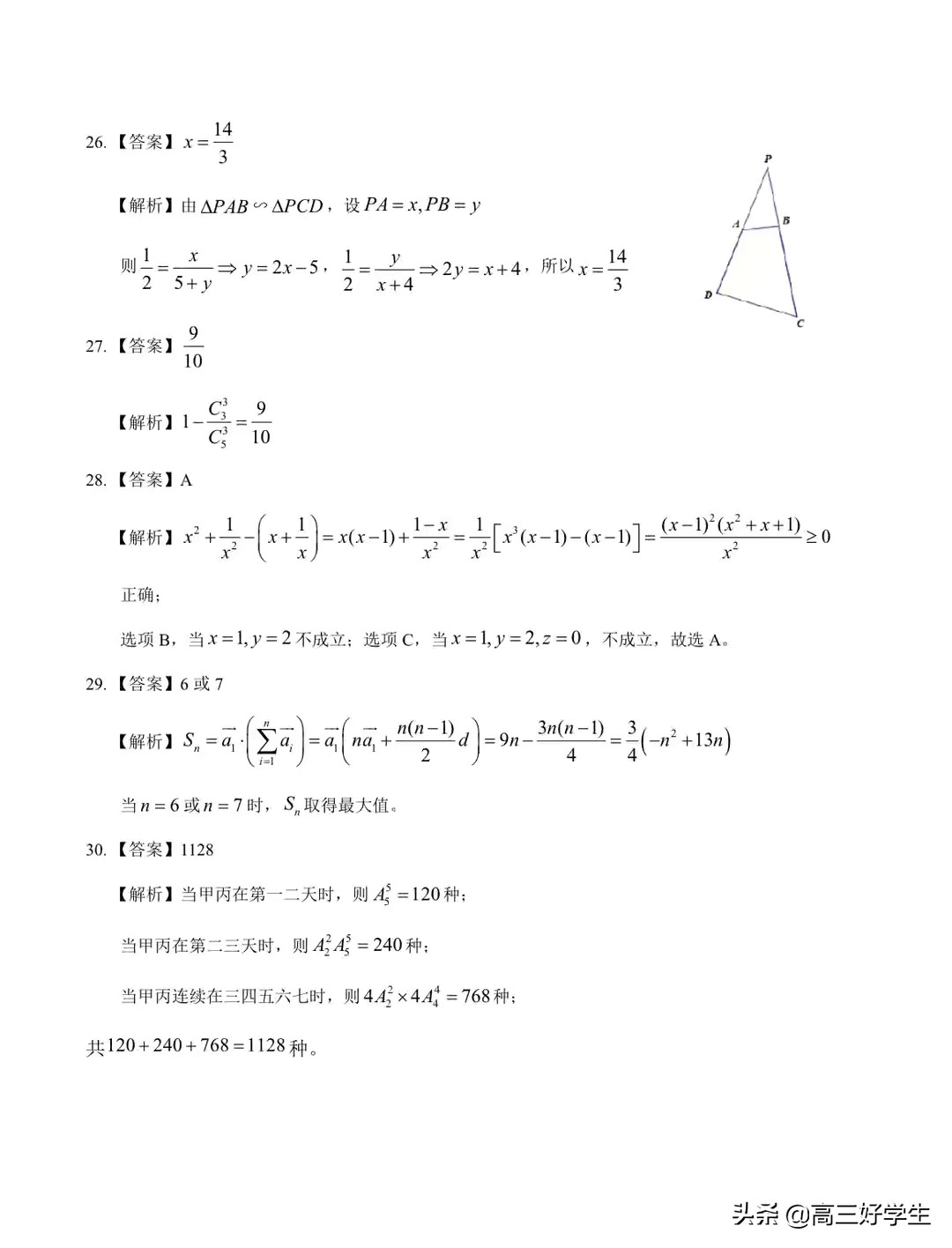
  • 相关文章